[tintuc]
Phần I: Cấu tạo và nguyên lý đèn UHP – Tại sao đèn UHP tạo cuộc cách mạng trong lĩnh vực trình chiếu.
- Vì sao thủy ngân được chọn để làm đèn UHP
- Áp suất và quang phổ liên tục
- Cấu tạo và quá trình tuần hoàn điện cực
- Công nghệ thiết kế vỏ đèn và hệ thống tản nhiệt
- Hệ thống quang học, tối ưu năng lượng ánh sáng
Phần II: Những công nghệ cải tiến của đèn UHP trong lĩnh vực máy chiếu:
- Tối ưu công suất và hiệu năng
- Cải tiến về thiết kế (Nhỏ gọn hóa)
- Cân bằng quang phổ
- Chóa đèn
Phần III: Sử dụng máy chiếu đúng cách
- Chăm sóc hệ thống tản nhiệt, bộ lọc bụi
- Ảnh hưởng của nguồn điện với máy chiếu
- Ngắt điện đột ngột gây hậu quả nghiêm trọng
- Nổ bóng, cách sơ cứu và cấp cứu
- Sự khác biệt giữa đèn xuất xưởng với đèn tương thích và cách phân biệt.
- Hướng dẫn mua đèn trên ebay, amazon : đúng đèn – đúng giá
- Theo dõi độ sáng của bóng theo thời gian sử dụng và cách phân biệt đèn củ đèn mới.
Bài viết này mang tính chất gây mê (bản thân người viết ngáp vài chục cái và gật gù vài lần trong quá trình lọc cọc), nên bác nào cảm thấy hơi buồn ngủ trong quá trình đọc thì nhảy tới phần III luôn nhé.
Đây là hình ảnh của bóng đèn (bulb)
Phần I: Cấu tạo và nguyên lý bóng đèn máy chiếu UHP – Tại sao đèn UHP tạo cuộc cách mạng trong lĩnh vực trình chiếu.
Như chúng ta đã biết, công nghệ trình chiếu xuất hiện từ rất lâu, từ những thước phim trắng đen của anh em Auguste và Louis Lumière đầu tiên vào năm 1895 cho đến những thước phim màu kinh điển bậc nhất của điện ảnh thế giới như It Happened One Night (1934, đoạt cả 5 Giải Oscar chính), The Wizard of Oz (1939) hay Cuốn theo chiều gió (Gone with The Wind, 1939),…
Và máy chiếu chỉ dành cho trình chiếu chuyên nghiệp như rạp chiếu phim hoặc các sự kiện trọng đại. Đến những năm 1990, máy chiếu cá nhân ra đời nhưng rất cồng kềnh và có độ sáng thấp (dưới 400 Lumens) và tuổi thọ bóng đèn ngắn.
Máy chiếu cổ: Bác Công HDVT đang sở hữu 1 em, các bác nào muốn tham quan thì đến VT liên hệ với bác ấy nhé.
Năm 1995, Philip cho ra đời bóng đèn UHP, được viết tắt từ "ultra high performance", đánh dấu một bước ngoặc quan trọng mở đầu cho kỷ nguyên máy chiếu cá nhân. Bóng đèn UHP phát ánh sáng trắng công suất nguồn sáng lớn (vài ngàn lumen), kích thước nhỏ gọn, hao tốn ít điện năng, và đặc biệt tuổi thọ bóng đèn khá lớn hiện nay đã lên đến 10.000 giờ.
Với những đặc điểm trên, đèn UHP đã chiếm ngôi bóng đèn halogen kim loại (độ sáng thấp <400 lumens và tuổi thọ bóng đèn ngắn) và mở đầu cho cuộc cách mạng thiết bị trình chiếu cá nhân home theatre: máy chiếu, công nghệ máy chiếu sau dùng cho tivi, tấm nền LCD…
Bóng đèn máy chiếu được chia làm 3 phần chính:
- Bệ đèn: còn gọi là lamb housing, thường được làm bằng nhựa và kim loại, có tác dụng cố định đèn vào máy chiếu và nối với dây điện, đồng thời giúp bóng đèn giải nhiệt. Khi thay đèn cho máy chiếu, chúng ta thường nhấc cả bệ đèn ra ngoài.
- Chóa đèn: có tác dụng hội tụ chuyển dời ánh sáng tập trung đến khe sáng chiếu vào bánh xe màu( wheel color).
- Bóng đèn: bao gồm 2 thanh điện cực làm bằng vonfam và bầu hồ quang chứa thủy ngân với áp suất cao.
Hình bóng đèn UHP:
Máy chiếu viewsonic của mỹ:
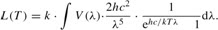
• Vì sao thủy ngân được chọn để làm đèn UHP:
Theo định luật bức xạ Planck:
Với k là hằng số Boltzmann , λ là bước sóng của ánh sáng phát ra , h là hằng số Planck , c là tốc độ ánh sáng, …
Theo công thức này, vượt qua các kim loại thuộc nhóm halogen khác, thủy ngân với khả năng ion hóa cao, dễ dàng nhận và phóng thích electron kèm theo proton , tạo ra ánh sáng trắng với nguồn sáng lớn trở thành yếu tố quan trọng cho việc phát minh đèn UHP.
• Áp suất và quang phổ liên tục:
Biểu đồ minh họa cho ta thấy với mỗi áp suất khác nhau, năng lượng sáng cho ra khác nhau và độ cân bằng màu sắc cũng khác nhau. Đối với đèn chiếu, ngoài độ sáng, tính chất quang phổ rất quan trọng. Áp suất càng cao quang phổ cho ra càng liên tục và cân bằng thì màu sắc cho ra càng chân thực. Tuy nhiên với áp suất của đèn còn tùy thuộc vào nhiều yếu tố như nhiệt độ, độ chính xác và co giãn của bầu thủy tinh, khoảng cách của 2 điện cực… nên độ cân bằng màu sắc của quang phổ cho ra không chính xác và đồng nhất trên mọi đèn chiếu cho dù được sản xuất với cùng thông số. Điều này giải thích tại sao với cùng 1 dòng máy chiếu phổ thông, cùng thông số cân bằng màu của filter nhưng độ cân bằng màu của mỗi máy chiếu lại không giống nhau. Vì vậy đối với dòng máy chiếu phổ thông, chúng ta thường phải calibrate lại trên từng máy chiếu cụ thể, can thiệp vào thông số của filter để gia giảm 3 màu đỏ, xanh dương và xanh lá cây cho phù hợp nhằm đạt được mức cân bằng ánh sáng trắng.
Còn đối với những dòng máy chiếu cao cấp nhà sản xuất đã calibrate cho từng máy để đảm bảo chất lượng trình chiếu tuyệt vời và đồng nhất cho mọi sản phẩm.
Tuy nhiên việc dung filters để lọc và gia giảm màu sắc sẽ làm giảm đi độ sáng của đèn chiếu, vì ánh sáng sẽ bị chặn lại tại tấm filter. Thông thường việc tinh chỉnh cân bằng ánh sáng trắng sẽ giảm mất 30% độ sáng máy chiếu, điều này lý giải tại sao sau khi calibrate, độ sáng máy chiếu giảm xuống 70 đến 85%.
Vì vậy bóng đèn ảnh hưởng rất nhiều đến chất lượng trình chiếu, nếu đèn chiếu tốt từ những hãng danh tiếng (Philips, Osgam) sẽ cho chất lượng màu sắc trung thực và độ sáng cao. Còn với bóng đèn thường với giá chỉ bằng 50% so với đèn tốt, hay được gọi là bóng tương thích CBL (Compatible Bulb Lamb), trình diễn màu sắc sai lệch và độ sáng không cao, và tuổi thọ chỉ bằng 50% so với đèn xuất xưởng OBL (Orginal Bulb Lamb). sau viết tắt là OB, CB hoặc OL, CL
Trích ngang một chút về bóng đèn trên thị trường việt nam hiện nay:
"Dựa trên biểu đồ nhiệt này giải thíc tại sao bóng đèn trên thị trường có 3 loại bóng đèn OM, OB, CB cho chất lượng và cường độ sáng khác nhau, giá thành khác nhau:
Bóng OM là bóng sản xuất theo yêu cầu (theo đơn đặt hàng của các thương hiệu máy chiếu), loại bóng này chất lượng tốt nhất trong các loại bóng trên thị trường. tuy nhiên giá thành cũng rất cao.
Bóng OB bóng do nhà sản xuất bóng đèn, sản xuất hàng loạt bán ra thị trường, là hàng chính hãng và được kiểm tra chất lượng đầu ra nghiêm ngặt, đúng tiêu chuẩn, nếu cần thay thế bóng đèn nên thay loại bóng này.
Bóng CB là loại bóng Coppy được các nhà máy địa phương sản xuất, chất lượng thủy tinh kém hơn nên áp suất tại tim đèn không đủ dẫn đến cường độ sáng yếu, và dùng thời gian ngắn thường sẽ bị phù (xuất hiện màu trắng ở tim đèn), bóng không chết hẳn nhưng hình ảnh rất mờ và không sử dụng đc nữa. nhưng loại bóng CB này giá thành thường rất rẻ."
Bóng xuất xưởng vs bóng compartible:
Khi đèn chiếu die thì bạn sẽ chọn cho mình bóng nào đây? OC hay OB? Qua kinh nghiệm thương đau, câu trả lời của mình chỉ là OB mà thôi.
• Cấu tạo và quá trình tuần hoàn điện cực
Với các dạng đèn sợi đốt halogen hay dùng để thắp sáng, tuổi thọ bóng đèn khá thấp do hiện tượng ăn mòn điện cực. Với sự 2 thành phần hóa học là O2 và Hg sẽ phản ứng với Vonfam ở nhiệt độ cao tạo thành WO2Hg2 bốc hơi rời khỏi điện cực. Điều này dẫn đến việc điện cực sẽ bị ăn mòn và bốc hơi hoàn toàn, bóng đèn sẽ nhanh chóng die. Tuy nhiên với cấu tạo đặc biệt của đèn UHP, các phân tử WO2Hg2 dưới nhiệt độ và áp suất cực cao trong bầu đèn sẽ tự động phân hủy tạo nên nguyên tử vonfam bám vào 2 điện cực. Chu trình này liên tục diễn ra trong quá trình hoạt động của đèn, nó ngăn cản phần lớn sự ăn mòn điện cực và kéo dài tuổi thọ đèn vượt qua mốc 10.000 giờ.
Nhiệt độ của đèn máy chiếu qua máy đo hồng ngoại:
Để bóng đèn kéo dài tuổi thọ, việc thiết kế điện cực phải đạt được mức tối ưu về khoảng cách cũng như hình dạng của 2 đầu điện cực sao cho chúng không trở nên quá gần hay quá xa, không bị biến dạng dẹp ra hai bên trong quá trình ăn mòn và tái tạo vonfam.
Hình ảnh minh họa sự ăn mòn điện cực sau 13 và 61 h:
Tuy nhiên theo thời gian hoạt động, điện cực sẽ bị ăn mòn dần dần, WO2Hg2 sẽ tích tụ và bám vào thành bầu đèn. Vì thế để biết bóng đèn sắp die hay chưa, các bác tháo bóng ra và quan sát bầu đèn, nếu bầu đèn trong suốt thì đèn còn trẻ tuổi, nếu bầu đèn trắng đục thì nó đã lão hóa và chuẩn bị lên đường rồi nhé.
Hình ảnh WO2Hg2 bám vào thành đèn:
Nguyên lý này cho ta thấy, việc tắt mở máy chiếu nhiều sẽ làm suy giảm tuổi thọ của bóng đèn. Vì trong khoảng thời gian mở và tắt, nhiệt độ và áp suất không đạt được trạng thái lý tưởng cho việc phân hủy WO2Hg2 và tái tạo W bám vào lõi điện cực. Và nguy hại nhất là việc tắt mở máy chiếu quá nhanh, đặc biệt nghiêm trọng hơn là máy đang khởi động thì bị mất nguồn do cúp điện…
Vì vậy nếu các bác đang xem phim, nhưng có việc bận chừng 2 3 chục phút, thì đừng tắt máy chiếu rồi bật lại nhé. Vì điều đó sẽ làm tuổi thọ bóng đèn giảm từ vài lần đến vài chục lần thời gian giữa khoảng.
Các bác cứ để máy chiếu, pause phim lại rồi quay lại coi sau cho an toàn nhé. Và nhớ sắm thêm cho em nó cái UPS để phòng khi cúp điện, nếu có thêm chức năng ổn áp thì càng tốt.
UPS thiết bị bảo hiểm cho máy chiếu:
• Công nghệ thiết kế vỏ đèn và hệ thống tản nhiệt:
Thiết kế vỏ đèn và hệ thống tản nhiệt có vai trò sống còn trong phát minh bóng đèn UHP. Để chu trình tái sinh điện cực được duy trì ở nhiệt độ và áp suất cao, vỏ ngoài của đèn phải được thiết kế sao cho có thể chịu được áp suất 200bar và nhiệt độ thấp nhất bên trong bầu từ 1190k và nhiệt độ bầu đèn dưới 1400k.
Và hệ thống tản nhiệt có vai trò cực kỳ quan trọng để có thể giúp duy trì nhiệt độ trong bầu đèn không quá thấp (đủ nhiệt độ tái sinh điện cực)và nhiệt độ vỏ đèn không cao > 1400k và nhỏ hơn 1200k để thạch anh không bị biến dạng và không bị WO2Hg2 tích tụ bám vào thành trong bầu đèn.
Nhiệt độ được duy trì càng ổn định thì quá trình tuần hoàn diễn ra càng triệt để, vỏ thành đèn không bị phình to hoặc nứt nhằm duy trì mức áp suất lý tưởng để cho ra ánh sáng cân bằng trắng tốt và nguồn sáng là cao nhất. Vì vậy bạn phải để máy chiếu sao cho thông thoáng, không che lấp, cản trợ quạt tản nhiệt và các bề mặt khác của máy chiếu. Tốt nhất là sắm thêm cho em nó 1 cái điều hòa.
• Hệ thống quang học, tối ưu năng lượng ánh sáng:
Để giảm thiểu hiệu năng chênh lệch giữa nguồn sáng đèn chiếu và nguồn sáng máy chiếu phát ra, đòi hỏi việc thiết kế quang học tập trung nguồn sáng đẳng hướng từ đèn tập trung vào khe tiếp sáng của máy chiếu. Để thực hiện được việc đó, chóa đèn được thiết kế theo hình elip nhắm hội tụ nguồn sáng đi từ tâm của bầu đèn tập trung vào khe tiếp sáng. Ngoài ra phía trong chóa đèn phải được tráng phủ lớp phản xạ giúp phản xạ hầu hết ánh sáng của đèn chiếu.
Vì thế chóa đèn phải được vệ sinh sạch sẽ nhằm tránh bụi bám vào làm giảm hiệu năng của chóa.
Cấu tạo và cơ chế tập trung ánh sáng của chóa đèn:
• Thời gian, công suất bóng đèn, độ sáng máy chiếu và sự suy giảm độ sáng theo thời gian:
Thông số độ sáng theo công bố từ nhà sản xuất mang một giá trị tương đối. Vì tùy vào điều kiện vận hành, cũng như môi trường (bụi bặm, nhiệt độ, nguồn điện, cách bật tắt … ) mà tuổi thọ của bóng đèn và tốc độ suy giảm độ sáng sẽ khác nhau. Tuy nhiên theo quy ước chung đối với những máy chiếu dòng cao cấp, thông số thời gian vận hành bóng bằng ½ thời lượng tồn tại của đèn chiếu, và trong thời gian này độ sáng không được giảm quá 50%.
Với máy chiếu Vivitek H1180, thông số :
Brightness 2000 ANSI Lumens
Lamp Life and Type ≈4500/6000 Hours, 190W/160W (Normal/Eco Mode)
Projection lamp Type 240 watts
Có nghĩa là: nhà sản xuất công bố nếu bật máy ở chế độ Normal, công suất đèn 190w, thì máy chiếu sẽ chạy được 4500 giờ mà độ sáng không suy giảm quá 1000 Ansi Lumens, và bóng đèn có khả năng chạy đến 9000 giờ nhưng độ sáng sẽ giảm còn dưới 500 Ansi Lumens. Tương tự với chế độ Eco.
Với máy chiếu Vivitek H1185, thông số :
Brightness 2500 ANSI Lumens
Lamp Life and Type ≈3500/5000 Hours, 240W/190W (Normal/Eco Mode)
Projection lamp Type 240 watts
Với máy chiếu Viewsonic PJD6543w, thông số :
Brightness 3000 ANSI Lumens
Lamp Life and Type ≈4500/6000 Hours, 240W/190W (Normal/Eco Mode)
Projection lamp Type 240 watts
Với máy chiếu Viewsonic PJD7820HD, thông số :
Brightness 300 ANSI Lumens
Lamp Life and Type ≈4000/6000 Hours, 240W/190W (Normal/Eco Mode)
Projection lamp Type 240 watts
Ở đây ta thấy, với cùng bóng có công suất đèn 240 watts nhưng độ sáng tối đa của và H1185 chênh lệch nhau đếu 500 Ansi Lumens. Nhưng tuổi thọ bóng đèn của H1180 dài hơn H1185 đến 1000 giờ ở cùng chế độ normal. Máy chiếu càng vận hành đèn càng dưới công suất thì tuổi thọ bóng đèn càng lâu, và tốc độ giảm sáng càng thấp chất lượng hình ảnh duy trì khá ổn định.
Đối với các máy chiếu dòng chuyên nghiệp, dù được trang bị bóng công suất khủng nhưng độ sáng chỉ ở mức 1700 Ansi Lumens trở xuống. Điều này cho thấy nhà sản xuất muốn duy trì chất lượng hình ảnh của máy chiếu ở mức ổn định nhất theo thời gian sử dụng.
Vì vậy nếu bạn chỉnh máy chiếu quá sáng hơn mức cần thiết, thì bóng càng nhanh die và độ sáng sẽ suy giảm nhanh chóng.
Theo kinh nghiệm chung của dân chơi máy chiếu, độ sáng máy chiếu sẽ giảm với tốc độ khá nhanh khoảng 30% qua 1000 giờ sử dụng ở chế độ Eco và tốc độ giảm sáng sẽ chậm lại đến 50% đến hết thời gian công bố, còn nếu máy chiếu chạy ở chế độ normal sẽ giảm khoảng 35-40% cho 1000 giờ đầu tiên và tốc độ giảm sáng sẽ chậm lại đến 50% đến hết thời gian công bố. Còn nếu bạn chỉnh độ sáng ở mức tối đa thì tốc độ giảm sáng sẽ rất là kinh khủng trong 1000 giờ đầu, nếu bạn xài chế độ này thì nên thay bóng sau 1000 giờ sử dụng.
Khi đèn chiếu bị suy giảm độ sáng do vận hành hết công suất, điều này dẫn đến sự mất cân bằng ánh sáng trắng, và màu sắc cho ra sai lệch, không còn trung thực như lúc đầu, đòi hỏi bạn phải calibrate lại máy thì độ sáng lại tiếp tục suy giảm sau khi calibrate.
Nếu bạn không muốn nhai đèn quá nhanh, thì điều tiên quyết phải làm là chỉnh độ sáng trình chiếu ở mức vừa phải, sao cho máy chiếu vẫn sâu hình, contract tốt, màu sắc trung thực.
Phần III: Sử dụng và chăm sóc máy chiếu
- Chăm sóc hệ thống tản nhiệt, bộ lọc bụi
- Ảnh hưởng của nguồn điện với máy chiếu
- Ngắt điện đột ngột gây hậu quả nghiêm trọng
- Nổ bóng, bể bánh xe màu cách sơ cứu và cấp cứu
- Sự khác biệt giữa đèn xuất xưởng với đèn tương thích và cách phân biệt.
- Hướng dẫn mua đèn trên ebay, amazon : đúng đèn – đúng giá
- Theo dõi độ sáng của bóng theo thời gian sử dụng và cách phân biệt đèn cũ đèn mới.
- Hướng dẫn cách thay đèn máy chiếu.
• Chăm sóc hệ thống tản nhiệt, bộ lọc bụi:
Như chúng ta đã biết về cấu tạo và cơ chế hoạt động của máy chiếu DLP, bộ phận lọc bụi và tản nhiệt đóng vai trò quan trọng trong việc vận hành của máy chiếu. Nó giúp duy trì nhiệt độ đèn ở mức nhất định, đảm bảo cho cơ chế tuần hoàn điện cực hoạt động hoàn hảo. Đồng thời giải nhiệt cho chíp DMD, bộ nguồn và các linh kiện khác trong máy chiếu. Tấm lọc bụi có vai trò cản bụi, không cho bụi bám vào các linh kiện làm ảnh hưởng đến sự tản nhiệt và giúp các bộ phận điện tử hoạt động tốt, tránh gỉ sét. Và bụi chính là nguyên nhân gây ảnh hưởng đến chất lượng trình chiếu, như bám vào trục bánh xe màu, làm cho vận tốc quay của bánh xe màu không ổn định, dẫn đến màu sắc trình chiếu sai lệch. Bụi bám vào hệ thống len che chắn ánh sáng… Nguy hiểm nhất là việc bụi bám vào chíp DMD, được cấu tạo từ hàng ngàn gương vi mạch siêu nhỏ tương ứng với từng điểm ảnh trên màn hình, làm cho gương vi mạch bị kẹt dẫn đến sự xuất hiện ngày càng nhiêu điểm chết trên màn hình.
Và còn rất nhiều tai hại do bụi gián tiếp gây ra. Có nhiều máy đang hoạt động bình thường, tự dưng xảy ra trục trặc mà không biết nguyên nhân (máy hay tắt đột ngột, đèn lúc sáng lúc mờ, …). Thế nhưng chỉ cần lôi máy ra vệ sinh thì lại hết các hiện tượng trên.
Bánh xe màu máy chiếu Optoma HD20 bị bám bụi:
Trong bài viết này mình xin trình bày cách vệ sinh đơn giản bên ngoài. Việc vệ sinh bên trong hơi phức tạp, mình xin trình bày ở bài viết khác.
Chíp DMD:
Hầu hết máy chiếu đều có tấm lọc bụi dễ tháo rời, tiện cho việc vệ sinh máy chiếu. Theo nhà sản xuất khuyến nghị, chúng ta nên vệ sinh lọc bụi định kỳ cho 300h chiếu. Quy trình vệ sinh tấm lọc bụi như sau:
- Tắt và rút nguồn điện khỏi máy chiếu: Lưu ý nếu máy chiếu đang hoạt động thì chúng ta nên để máy chiếu tản nhiệt hoàn toàn trước khi lấy xuống, vì lúc này các bộ phận trong máy chiếu đang rất nóng, nhất là các bộ phận như đèn và lamp housing. Nếu chúng ta tác động vào máy chiếu lúc còn đang nóng có thể gây nứt đèn và gãy các bộ phận bằng nhựa khác trong máy.
- Vệ sinh lọc bụi: thông thường tấm lọc bụi được bố trí hai bên hông máy, nằm trước quạt hút. Tấm lọc bụi được gắn vào máy bằng ngàm, hoặc nam châm, vì vậy chúng ta chỉ cần nhấn vào cho ngàm nhả ra và nhẹ nhàng rút tấm lọc bụi đi vệ sinh. Sau đó dùng máy thổi theo chiều từ trong ra ngoài, hoặc dùng nước xịt, phơi khô trước khi lắp vào như cũ.
- Vệ sinh bụi trên thân máy chiếu: dùng máy hút bụi vệ sinh quanh máy chiếu, tập trung vào quạt, ống kính, các khe hở bám bụi. Ngoài ra cọ quét mềm cũng là giải pháp tốt để vệ sinh bụi bám trong ống kính, quạt. Tuyệt đối không dùng quạt thổi, vì sẽ làm cho bụi lọt thêm vào máy chiếu. Dùng một tấm khăn ướt sạch, vắt khô lau bên ngoài máy chiếu.
- Vệ sinh ống kính: Lau ống kính bằng khăn lau kính, hoặc giấy lau chuyên dụng (lưu ý không dùng giấy và khăn cứng). Nếu ống kính bị chất bẩn cứng đầu như vết “ị” của côn trùng hoặc dấu vân tay lâu ngày bị ô xi hóa… thì điều bạn cần lúc này là dung dịch lau ống kính chuyên dụng được bán ở các cửa hàng bán thiết bị quang học. Thấm một chút dung dịch vào vết bẩn, đợi một chút và lau sạch bằng khăn là xong. Tuyệt đối không nên hà hơi vào ống kính vì trong dung dịch hà hơi có chứa axit và một số chất ăn mòn khác sẽ tác dụng vào các lớp coating kim loại trên ống kính.
- Vệ sinh đèn máy chiếu: đèn máy chiếu thường có vị trí phía trên hoặc dưới thân máy chiếu. Dùng một con vít tháo nắp bảo vệ đèn và tháo ốc trên lamp housing. Nhẹ nhàng nắm thanh inox kéo nhẹ lamp housing đồng đều theo các góc. Sau đó ta dùng một cây cọ nhẹ nhàng quét bụi khỏi lamp housing, bên ngoài và trong chóa đèn, lưu ý không dùng tay chạm vào kính, bên trong chóa đèn và bánh xe màu. Không dùng tay quay quạt tản nhiệt, vì khi quạt quay sẽ sinh ra dòng điện cảm ứng tác động vào bo mạch của máy chiếu. Chúng ta dùng giấy ướt hoặc khô lấy bụi đã được quét vào các khu vực an toàn.
Bộ vệ sinh máy chiếu:
- Việc còn lại là gắn đèn vào. Lúc này chắc chắn bạn sẽ cảm giác lòng mình nhẹ nhàng, lâng lâng, có một sự sung sướng nhẹ khi nhìn ngắm và sờ mó, vuốt ve đủ kiểu con máy chiếu mới toanh như những ngày đầu vừa cưới em nó về. Bao nhiêu kỷ niệm củ chợt ùa về, bạn bồi hồi nhớ lại những đêm trằn trọc nhớ thương và quyết chí cưới em nó và cả những ngày vất vã dọn ổ đón em nó về. Bạn nhẹ nhàng treo em nó lại như cũ, bật lên, cẩn thận căn chỉnh, chăm chút lại từng thông số. Và ngạc nhiên chưa, hình ảnh có vẻ đẹp hơn, sáng hơn, nét hơn. Lúc này sự sung sướng trong lòng bạn không hề nhẹ nữa, khẽ đưa môi mình chạm vào em nó, bất chợt thốt lên: “máy chiếu ơi, anh yêu em, cuối tuần này anh sẽ không đi nhậu nữa, anh hứa sẽ thường xuyên bên cạnh quan tâm và chăm sóc cho em”. Còn gì tuyệt vời hơn cảm giác được chăm sóc cho người mình yêu, đúng không các bác.
Em mượn đỡ tấm hình phim cuốn theo chiều gió để minh họa tình cảm các bác dành cho máy chiếu.
• Ảnh hưởng của nguồn điện với máy chiếu:
nguồn điện là nguồn thức ăn chứa đựng nhiều vitamin nuôi sống em nó. Nếu nguồn điện tốt, ổn định đồng nghĩa em nó sẽ được thưởng thức thức ăn ngon. Em nó hoạt động hiệu quả, sống lâu dài với bạn hơn. Bạn nên nhớ máy chiếu rất nhạy cảm về điện, chỉ cần dòng điện không ổn định, điện áp chập chờn, thì tín hiệu hình ảnh sẽ lúc nắng, lúc mưa. Và nếu khu của bạn thường hay cúp điện, thì tuổi thọ đèn nói riêng và máy chiêu nói chung sẽ giảm đáng kể. Vì vậy, khi rước em nó về, bạn nên kiểm tra điện áp nguồn cắm có ổn định hay không. Nếu điện áp không ổn định, và khi hoạt động em nó bị nhiễu hình hoặc noise (sau khi test dây ở chổ khác bình thường), sáng chập chờn thì bạn nên trang bị thêm 1 biến áp cách ly, hoặc ổn áp, và thay các tăng phô đèn trong nhà bằng tăng phô điện tử (Loại Rạng Đông có giá chỉ 26.000/cái bán tại đầu đường Nguyễn Kim)
Tăng phô điện tử:
• Ngắt điện đột ngột gây hậu quả nghiêm trọng:
mình xin trích lại bài trước dành cho các bác nào chưa biết: Với các dạng đèn sợi đốt halogen hay dùng để thắp sáng, tuổi thọ bóng đèn khá thấp do hiện tượng ăn mòn điện cực. Với sự 2 thành phần hóa học là O2 và Hg sẽ phản ứng với Vonfam ở nhiệt độ cao tạo thành WO2Hg2 bốc hơi rời khỏi điện cực. Điều này dẫn đến việc điện cực sẽ bị ăn mòn và bốc hơi hoàn toàn, bóng đèn sẽ nhanh chóng die. Tuy nhiên với cấu tạo đặc biệt của đèn UHP, các phân tử WO2Hg2 dưới nhiệt độ và áp suất cực cao trong bầu đèn sẽ tự động phân hủy tạo nên nguyên tử vonfam bám vào 2 điện cực. Chu trình này liên tục diễn ra trong quá trình hoạt động của đèn, nó ngăn cản phần lớn sự ăn mòn điện cực và kéo dài tuổi thọ đèn vượt qua mốc 10.000 giờ. Nguyên lý này cho ta thấy, việc tắt mở máy chiếu nhiều sẽ làm suy giảm tuổi thọ của bóng đèn. Vì trong khoảng thời gian mở và tắt, nhiệt độ và áp suất không đạt được trạng thái lý tưởng cho việc phân hủy WO2Hg2 và tái tạo W bám vào lõi điện cực. Và nguy hại nhất là việc tắt mở máy chiếu quá nhanh, đặc biệt nghiêm trọng hơn là máy đang khởi động thì bị mất nguồn do cúp điện…
• Nổ bóng, bể bánh xe màu cách sơ cứu và cấp cứu:
- Thường máy chiếu có nhiều chế độ chiếu khác nhau: eco – normal – high (dynamic) tương ứng với các công suất hoạt động của đèn: thấp, bình thường và cao. Chế độ chiếu càng sáng thì đèn hoạt động càng “lao lực”, dẫn đến tuổi thọ của đèn giảm nhanh và “tuột” sáng. Vì vậy tuổi thọ của đèn khi vận hành ở chế độ eco nhiều hơn gấp đôi tuổi thọ đèn ở chế độ normal, dynamic. Và ngược lại với độ giảm sáng. Với chế độ high, còn gọi là chế độ “thuốc nổ” thì đèn sẽ như quả bom nổ chậm, cho đến một ngày nào đó, bạn chợt nghe một tiếng “bụp”, bóng tối bao trùm thì đèn đã nổ. Lúc này các bác phải nhanh chóng định thần, bật đèn, di chuyển mọi người ra khỏi phòng chiếu một cách trật tự và nhanh chóng. Đồng thời mở mọi cửa sổ cho hơi thủy ngân tản mát khỏi phòng. Sau 15p phút ổn định, bạn tắt nguồn, nhẹ nhàng tháo máy chiếu xuống. Các bác lưu ý đừng lắc em nó, vì các mảnh đèn vỡ có khả năng chạm và kẹt vào khe bánh xe màu. Từ từ tháo đèn ra và quan sát, nếu đèn bị nỗ tan tành thì các bác phải kiên nhẫn lấy từng mãnh một cho đến khi không còn mảnh nào trong máy chiếu. Còn nếu đèn bị nứt hoặc nổ bầu đèn thì việc dọn dẹp sẽ nhanh chóng và dễ dàng hơn. Sau khi vệ sinh xong, các bác nên lắc nhẹ xem còn mảnh vụn nào văng vào máy không, nếu có thì cần mở vỏ máy ra để lấy toàn bộ mảnh vỡ. Việc còn lại là mua bóng mới và lắp vào.
- Vào một ngày đẹp trời hay tối trời nào đó, các bác nằm ườn trên salon xem bộ phim yêu thích bên người yêu vấu, thì bất chợt nghe tiếng rin rít, lạch cạch. Hình ảnh bị mất màu xanh hoặc đỏ hay vàng và có sọc trên màn hình, thì chắc chắn rằng bánh xe màu bị bể hoặc nứt. Còn trường hợp trên màn ảnh xuất hiện các điểm sáng hoặc tối thì chíp DMD có vấn đề. Ở 2 trường hợp này, các bác cần sự hỗ trợ từ đơn vị bảo hành để thay bánh xe màu hoặc chíp DMD.
• Sự khác biệt giữa đèn xuất xưởng với đèn tương thích và cách phân biệt:
- Hiện nay các nhà sản xuất máy chiếu đa phần lấy đèn từ 2 nhà sản xuất chính: Philips (UHP) và Osram/Sylvania (P-VIP). Ngoài ra còn có các hãng như: Iwasaki, Matsushita, Phoenix … Bóng đèn được các hãng máy chiếu bán ra thường đi chung với lamp housing để tiện cho việc lặp đặt và có giá cao hơn nhiều so với giá bóng không đi chung với lamp housing. Lamp housing rất khó hư, bạn có thể sử dụng lại rất nhiều lần mà không ảnh hưởng đến khả năng vận hành của máy. Vì vậy để tiết kiệm được chi phí, chúng ta nên mua bóng và thay vào lamp housing cũ.
- Có một vấn đề chúng ta cần lưu ý ở đây, bóng đèn xuất xưởng không phải chỉ là đèn mà nhà sản xuất máy chiếu bán ra, mà nó còn là đèn chính hãng từ các nhà sãn xuất đèn như Philips, Osram… Nên vấn đề chính là làm thế nào chúng ta phân biệt giữa đèn nhái và đèn chính hãng (xuất xưởng).
- Chất lượng thủy tinh của đèn chính hãng trong hơn đèn nhái, thủy tinh của đèn nhái thường hay ngã vàng. Bề mặt của đèn chính hãng láng mịn, trơn tru và không có những vết thủy tinh sần sùi trên mặt trong của đèn.
- Trên thân bầu của đèn chính hãng đều có mã số, nếu ta kiểm tra mà không có thì chắc chắn là đèn nhái.
- Nhãn của đèn chính hãng chi tiết hơn hàng nhái.
- Đèn nhái có độ sáng yếu, tuổi thọ bóng đèn ngắn, hình ảnh sai màu. Đèn chính hãng cho ánh sáng trắng trung tính, sáng hơn và tuổi thọ bóng đèn lâu hơn.
• Theo dõi độ sáng của bóng theo thời gian sử dụng và cách phân biệt đèn cũ đèn mới:
- Để phát huy độ tương phản và black level của mày chiếu, đối với phòng chắn sáng tốt chúng ta nên chỉnh brightness để thông số Foot Lambert (đơn vị đo độ sáng) đo được có giá trị từ 12- 22. Đặc biệt chuẩn ở thông số 16 FL, vì theo thông số này, hình ảnh cho ra sẽ chân thật, sắc nét, hiệu ứng đổ bóng rất tốt và chúng ta không bị mỏi mắt khi xem phim. Đồng thời tuổi thọ bóng đèn dài hơn vì hoạt động ở công suất thấp. Thông thường với kích thước màn 135 inch 16:9, máy chiếu độ sáng 2000 AnsiLumen chiếu ở chế độ Ciname sẽ cho ra độ sáng 17 FL. Nếu máy kích thước màn hình nhỏ hơn thì chúng ta nên giảm độ sáng để đạt được thông số lý tưởng này.
- Đối với máy chiếu có độ sáng khác, bạn có thể dùng công cụ sau:
Projection Calculator Pro - Projector to Screen Distance
- Khi máy chiếu hoạt động sau từng 200 giờ bạn nên tăng độ sáng lên để bù vào sự giảm sáng của đèn, đồng thời vẫn giữ được thông số lý tưởng là 17 FL. Mỗi máy chiếu có sự giảm sáng khác nhau, nếu bạn không quen canh bằng mắt thì có thể sử dụng công cụ đo độ sáng và partern 100% white để setup chính sác hơn. Trên thị trường hiện nay bán rất nhiều dụng cụ đo độ sáng (Lux Meters) với giá từ vài trăm ngàn đến hơn triệu:
Như chúng ta đã biết qua bài trước, bóng đèn máy chiếu sau khi hoạt động một thời gian sẽ bị ăn mòn điện cực và xuất hiện lớp bột trắng bám trên bầu đèn, vì vậy để phân biệt đèn đã xài qua chưa, chúng ta chỉ cần quan sát bầu đèn. Nếu bầu đèn trong suốt thì bóng mới hoặc hoặt động ít, nếu lớp bột trắng bám càng nhiều thì đèn càng cũ và ngược lại.
Mọi chi tiết xin liên hệ:
BỆNH VIỆN MÁY CHIẾU DAIPHATCARE
Trụ Sở Hà Nội:
ĐC: Số 06 Khu Biệt Thự Licogi 13, Khuất Duy Tiến, Thanh Xuân, Hà Nội
ĐC: K9/5 Đỗ Quang, Q.Thanh Khê, TP.Đà Nẵng
Hotline: 0905 554 815 - Hỗ trợ gấp 24/7
Email: thangmv@daiphatcorp.com.vn
ĐC: Số 49L, Phan Đăng Lưu, Phường 3. Q. Bình Thạnh TP. HCM
[/tintuc]












